| Chinese |
Group Ex1:
Electronic properties of strongly Correlated Systems
Home
Research
Facilities
People
Publication
Gallery
Contact
More+
Chinese
Research Progress
Group News
Research Progress More+
Electr0nic anisotropy in WP2
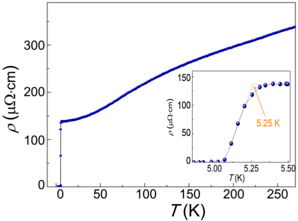
5.25 K superconductivity in Pr3Cr10-xN11
Possible Slater transition in SrIr0.8Sn0.2O3
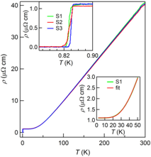
Superconductivity of 0.8K in WP
SdH quantum oscillation in CoSi
Strong and Tunable Electrical Anisotropy in Type-II Weyl Semimetal Candidate WP2 with Broken Inversion Symmetry
[2019-12-20]
Discovery of bulk superconductivity at 5.25 K in Pr3Cr10-xN11
[2019-09-02]
Optical study on the possible Slater insulator SrIr0.8Sn0.2O3
[2019-07-02]
Superconductivity in WP single crystals
[2019-05-21]
Magnetoresistivity of Topological Semimetal CoSi
[2019-05-07]
Group News More+
Dr. Mi receives the Excellent Report Award of the first Postdoctoral Academic Annual Conference of Institute of Physics
[2019-12-28]
Congratuation to Dr. Yuting Shao - Ph. D. Oral defense passed
[2019-11-18]
Prof. Jianlin Luo receives “Ye Qisun Physics Prize” from CPS
[2019-09-20]
Prof. Jianlin Luo was selected into Thomson Reuters Highly cited researchers list again (2014 - 2018)
[2018-11-27]
Copyright © EX1.IOP.CAS Xinbo Wang update @ 2022.05.05